Pigmentas raudonas 176-Corimax Red HF3C
Produkto parametrų sąrašas
| Spalvų rodyklė Nr. | Pigmentas raudonas 176 |
| Produkto pavadinimas | „Corimax Red HF3C“ |
| Produkto kategorija | Organinis pigmentas |
| CAS numeris | 12225-06-8 |
| ES numeris | 235-425-2 |
| Cheminė šeima | Benzimidazolonas |
| Molekulinė masė | 572.57 |
| Molekulinė formulė | C32H24N6O5 |
| PH vertė | 7 |
| Tankis | 1.6 |
| Alyvos absorbcija (ml / 100 g)% | 40-60 |
| Lengvas atsparumas (danga) | 6 |
| Atsparumas karščiui (danga) | 180 |
| Lengvas (plastikinis) | 6-7 |
| Atsparumas karščiui (plastikas) | 250 |
| Vandens pasipriešinimas | 5 |
| Atsparumas alyvai | 5 |
| Atsparumas rūgštims | 5 |
| Atsparumas šarmams | 4-5 |
Spalva | ![]() |
| Atspalvių pasiskirstymas |
Funkcijos:
Pigmentas „Raudonasis 176“ yra ryškiai melsvo atspalvio pigmentas, pasižymintis puikiu atsparumu, dideliu atsparumu karščiui, skaidriu ir atspariu migracijai.
TDS (pigmentinis raudonas 176) MSDS(Pigment Red 176)Taikymas :
Rekomenduojama pramoniniams dažams, miltelinėms dangoms, spausdinimo pastoms, PVC, gumai, PS, PP, PE, PU, vandens pagrindu pagamintiems dažams, dažams tirpikliams, UV dažams.
Siūlomi automobilių dažams, architektūrinėms dangoms, ritinių dangoms, ofsetiniams dažams.
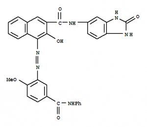
Molekulinė struktūra:

Fizinės ir cheminės savybės: mėlyna ir raudona. Šviesos stiprumas yra 6 lygis. Šiluminis stabilumas yra didesnis nei 300 ℃. Organinių tirpiklių atsparumas siekia 4–5 klases, be migracijos.
Produkto naudojimas: Dažniausiai naudojamas plastikams dažyti.
Pigment Red 176 specifikacija :
2-naftalenkarboksamidas, N- (2,3-dihidro-2-okso-1H-benzimidazol-5-il) -3-hidroksi-4- [2- [2-metoksi-5 - [(fenilamino) karbonil] fenilas ] diazenil] - yra organinis junginys, kurio formulė C32H24N6O5. Sisteminis šios cheminės medžiagos pavadinimas yra 3-hidroksi-4- [2-metoksi-5- (fenilkarbamoil) fenil] azo-N- (2-okso-1,3-dihidrobenzimidazol-5-il) naftalen-2-karboksamidas. CAS registracijos numeris 12225-06-8 jis taip pat vadinamas N- (2,3-dihidro-2-okso-1H-benzimidazol-5-il) -3-hidroksi-4 - [[2-metoksi- 5 - [(fenilamino) karbonil] fenil] azo] naftalen-2-karboksamidas. Produkto kategorija yra ekologiški.
2-naftalenkarboksamido, N- (2,3-dihidro-2-okso-1H-benzimidazol-5-il) -3-hidroksi-4- [2- [2-metoksi-5 - [(fenilamino) karbonilo) fizikinės savybės ] fenil] diazenil] yra: (1) ACD / LogP: 6,96; (2) 5 taisyklės pažeidimų skaičius: 4; (3) ACD / LogD (pH 5,5): 6,95; (4) ACD / LogD (pH 7,4): 6,95; (5) #H jungčių priėmėjai: 11; (6) #H jungčių donorai: 5; (7) # laisvai besisukančios obligacijos: 8; (8) poliarinio paviršiaus plotas: 153,51 Å2; (9) lūžio rodiklis: 1.721; (10) molinis lūžio koeficientas: 157,67 cm3; (11) molinis tūris: 398,6 cm3; (12) poliarizuotumas: 62,5 × 10–24 cm3; (13) paviršiaus įtempis: 61 dinas / cm; (14) Tankis: 1,43 g / cm3; (15) Pliūpsnio temperatūra: 357,3 ° C; (16) garinimo entalpija: 101,63 kJ / mol; (17) Virimo temperatūra: 667,2 ° C, esant 760 mmHg; (18) garų slėgis: 2,05E – 18 mmHg, esant 25 ° C.










